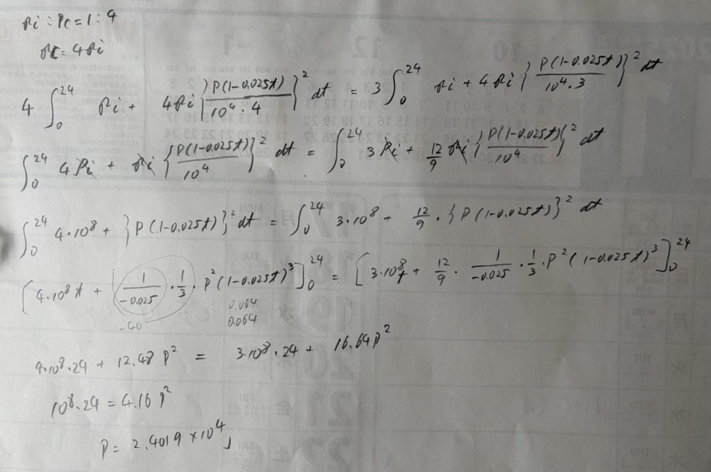
2025-12-17 / 最終更新日時 : 2025-12-17 Cardinal 未分類 電験二種 施設管理 昭和57年(1982年) 変圧器の並行運転時の効率的な運転台数の検討 計算間違いをし易いので落ち着いて解答を導くことがポイントです。